Per le matrici simmetriche, si può salvare spazio nella memorizzazione. Si può infatti utilizzare la metà dello spazio, perchè una matrice simmetrica si può memorizzare in circa locazioni di memoria.
Teorema
matrice simmetrica con tutti i minori principali diversi da zero. Esiste quindi una matrice triangolare inferiore con diagonale unitaria e una matrice diagonale con elementi diagonali diversi da zero tali che
Dimostrazione
Dalle ipotesi si ha con non singolare e con diagonale unitaria.
è la diagonale di . La matrice è triangolare superiore e ha diagonale unitaria. Quindi . Dalla simmetria di si ha che (ricordarsi che ) Si ha quindi che ha diagonale unitaria, e che

Quindi, ricapitolando,
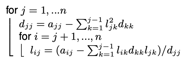
Al passo sono già stati calcolati gli elementi per e .
